Return to Home Page

The Use of Triangular Ozone Exposures in
Controlled Human Health Laboratory and Vegetation Experiments

Similar to key vegetation experiments performed in the 1980s (e.g., Musselman et al., 1983; Hogsett et al., 1985), controlled human health laboratory study results have shown a difference in response to square-wave (i.e., constant concentration) O3 exposures and triangular (i.e., variable) exposures. For example, triangular exposures used by Hazucha et al. (1992) and Adams (2003; 2006) suggest that variable exposures can potentially lead to higher FEV1 responses than square-wave exposures at overall equivalent O3 doses. An important observation from these three experiments is that the higher hourly average concentrations elicit a greater effect than the lower hourly average values in a non-linear manner (Hazucha and Lefohn, 2007; Lefohn et al., 2010; Lefohn et al., 2018). The result of this is that Haber's Rule (i.e., concentration multiplied by time) is not applicable and its application would be problematic when used in ozone exposure or dose equations. The importance of concentration relative to other factors in the dose concept was mentioned earlier by other researchers. Silverman et al. (1976) noted that there was some suggestion in their study that for a given effective dose, exposure to a high concentration for a short period had more effect than a longer exposure to a lower concentration. Similarly, Drechsler-Parks (1990) noted that their results suggested that O3 concentration was the most important factor within the effective dose concept, followed by exercise Ve, followed by exposure duration.

It has become apparent that controlled human health laboratory simulations of air-pollution risk-assessment need to employ O3 concentration profiles that more accurately mimic those encountered during summer daylight ambient air pollution episodes (Adams and Ollison, 1997; Lefohn and Foley, 1993; Rombout et al., 1986; Lefohn et al., 2010). For many years, vegetation and some human health researchers have designed triangular-type exposure regimes. An important question was raised in the human health scientific community as to the scientific relevance of applying triangular exposure versus constant concentration exposure regimes in research experiments. Our own analysis of actual ozone hourly average concentrations found that only 1.51% of all sequences could be classified as representing a "square wave" or a constant concentration regime. The "square-wave" patterns of exposure occur so infrequently under ambient conditions that it may not be relevant to use these artificial exposure regimes in assessing response considering the timing of response following exposure to variable O3 concentrations (Hazucha and Lefohn, 2007; Lefohn et al., 2010).

By definition, diurnal variations are those that occur during a 24-h period. Diurnal patterns of O3 may be expected to vary with location, depending on the balance among the many factors affecting O3 formation, transport, and destruction. Although they vary with locality, diurnal patterns for O3 typically show a rise in concentration from low values in the early morning hours (or levels near minimum detectable amounts) to an afternoon peak to lower values in the late evening hours at lower elevation monitoring sites. The diurnal pattern of concentrations can be ascribed to three simultaneous processes: (1) downward transport of O3 from layers aloft; (2) destruction of O3 through contact with surfaces and through reaction with nitric oxide (NO) at ground level; and (3) in situ photochemical production of O3 (Coffey et al., 1977; Mohnen et al., 1977; Reiter, 1977a).

The form of an average diurnal pattern may provide information on sources, transport, and chemical formation and destruction effects at various sites. Non-transport conditions will produce early afternoon peaks. However, long-range transport processes will influence the actual timing of a peak from afternoon to evening or early morning hours. A flat diurnal pattern is usually interpreted as indicating a lack of efficient scavenging of O3 or a lack of photochemical precursors, whereas a varying diurnal pattern is taken to indicate the opposite.

The U.S. EPA (2006) described diurnal patterns for urban locations in the United States. Composite urban, diurnal variations in hourly averaged O3 for April through October 2000 to 2004 are shown in Figure 3-8. The figure was created by averaging the hourly average concentrations over the time period at each hour (i.e., all the 0100 hour values over the desired period of time, then the 0200 hour values, etc.) As can be seen from Figure 3-8, at many locations daily 1-hour maxima tend to occur in mid-afternoon and daily 1-h minima tend to occur during the early morning, but exceptions do occur.


Source: U.S. Environmental Protection Agency (2006).

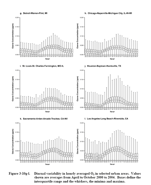
The EPA (2006) describes the diurnal variability of hourly averaged O3 for the twelve urban areas considered for inclusion in EPA's human health exposure assessment risk assessment for its current review in Figures 3-10a-l for April to October 2000 to 2004. Daily maximum 1-hour concentrations tend to occur in mid-afternoon. However, as can be seen from the figures, the diurnal patterns vary from city to city, with high values (greater than or equal to 0.100 ppm) also occurring either late in the evening as in Boston, past midnight as in Los Angeles and Sacramento, or midmorning as in Houston. Typically, high values such as these are found during the daylight hours in mid to late afternoon. EPA notes for the 8-hour average concentrations, on days with high 1-hour daily maximum concentrations (e.g., greater than or equal to 0.12 ppm), the maxima tend to occur in a smaller time window centered in the middle of the afternoon, compared to days on which the maximum is lower. For example, on high O3 days the 8-hour maximum occurs from about 11 a.m. to about 6 p.m (U.S. EPA, 2006).

Source: U.S. Environmental Protection Agency (2006).


Source: U.S. Environmental Protection Agency (2006).

Thus, based on the published literature combined with the findings from the EPA (2006), summarized ambient air quality data provide important evidence for those vegetation and human health clinical researchers who are applying varying hour-by-hour O3 concentrations (i.e., triangular exposure regimes) in their experiments. Findings reported by Lefohn et al. (2010) continue to indicate that square-wave O3 patterns of exposure are fairly rare under ambient conditions. The investigators found that if one defined a "square wave" profile as experiencing a variable range of 4 ppb or less over an 8-hour period, then only 1.51% of all sequences (28,148) would be classified as representing a "square wave". Thus, the results published by Hazucha et al. (1992) and Adams (2003; 2006) suggest that the higher hourly average concentrations elicit a greater effect than the lower hourly average values in a non-linear manner and that identical 8-hour average concentrations with different combinations of hourly values will result in different FEV1 responses.

Besides controlled human health O3 laboratory experiments, researchers have compared effects associated with both high-concentration intermittent and low concentration-continuous exposures in rats applying other pollutants. Liu et al. (2022) noted that when the total amount of PM2.5 exposure was equal, effects were more serious when high concentration-intermittent exposures were applied than when low concentration-continuous exposures were used. The authors noted that

Previous toxicological studies on other air pollutants had shown similar results, including formaldehyde and ozone. One possible explanation for these results was that the relationship between exposure concentrations of these pollutants and health damage did not follow a linear relationship, but was more like an exponential one (Zhang et al., 2018; Adams, 2003; Adams, 2006; Hazucha and Lefohn, 2007). Therefore, the high PM2.5 concentrations experienced by rats in the intermittent exposure group would result in greater toxicity to health even if the total PM2.5 exposure mass was the same during the exposure period set in this experiment.

Thus, the comparative results derived from controlled human health O3 laboratory experiments employing high-concentration intermittent and low concentration-continuous exposures imply that the current form (i.e., 8-hour average) ozone standard is not necessarily the most optimum exposure metric for assessing human health effects associated with ozone exposure (Hazucha and Lefohn, 2007; Lefohn et al., 2010). Lefohn et al. (2010) discussed a possible alternative form of the current 8-hour average standard that uses an 8-hour cumulative concentration exposure metric.

 

References

Adams, W. C. (2003) Comparison of chamber and face mask 6.6-hour exposure to 0.08 ppm ozone via square-wave and triangular profiles on pulmonary responses. Inhalation Toxicology 15: 265-281.

Adams, W. C. (2006). Comparison of Chamber 6.6-h Exposures to 0.04 - 0.08 ppm Ozone Via Square-Wave and Triangular Profiles on Pulmonary Responses. Inhal Toxicol. Inhalation Toxicology 18, 127-136.

Adams, W. C.; Ollison, W. M. (1997) Effects of prolonged simulated ambient ozone dosing patterns on human pulmonary function and symptomatology. Presented at: 90th annual meeting of the Air & Waste Management Association; June; Toronto, Ontario, Canada. Pittsburgh, PA: Air & Waste Management Association; paper no. 97-MP9.02.

Coffey, P.; Stasiuk, W.; Mohnen, V. (1977) Ozone in rural and urban areas of New York State: part I. In: Dimitriades, B., ed. International conference on photochemical oxidant pollution and its control - proceedings: volume I; September 1976; Raleigh, NC. Research Triangle Park, NC: U.S. Environmental Protection Agency, Environmental Sciences Research Laboratory; pp. 89-96; report no. EPA-600/3-77-001a. Available from: NTIS, Springfield, VA; PB-264232

Drechsler-Parks, D.M., Horvath, S.M., Bedi, J.F., 1990. The ''effective dose'' concept in older adults exposed to ozone. Experimental Gerontology 25, 107-115. https://doi.org/10.1016/0531-5565(90)90041-Y

Hazucha, M. J.; Folinsbee, L. J.; Seal, E., Jr. (1992) Effects of steady-state and variable ozone concentration profiles on pulmonary function. Am. Rev. Respir. Dis. 146: 1487-1493.

Hazucha, M. J.; Lefohn, A. S. (2007) Nonlinearity in Human Health Response to Ozone: Experimental Laboratory Considerations. Atmospheric Environment. 41:4559-4570.

Hogsett, W. E.; Tingey, D. T.; Holman, S. R. (1985) A programmable exposure control system for determination of the effects of pollutant exposure regimes on plant growth. Atmospheric Environment 19: 1135-1145.

Lefohn, A. S.; Foley, J. K. (1993). Establishing Ozone Standards to Protect Human Health and Vegetation: Exposure/Dose-Response Considerations. J. Air Waste Manag. Assoc. 43(2):106-112.

Lefohn, A.S., Hazucha, M.J., Shadwick, D., Adams, W.C. (2010). An Alternative Form and Level of the Human Health Ozone Standard. Inhalation Toxicology. 22 (12):999-1011.

Lefohn, A.S., Malley, C.S., Smith, L., Wells, B., Hazucha, M., Simon, H., Naik, V., Mills, G., Schultz, M.G., Paoletti, E., De Marco, A., Xu, X., Zhang, L., Wang, T., Neufeld, H.S., Musselman, R.C., Tarasick, T., Brauer, M., Feng, Z., Tang, T., Kobayashi, K., Sicard, P., Solberg, S., and Gerosa. G. (2018). Tropospheric ozone assessment report: global ozone metrics for climate change, human health, and crop/ecosystem research. Elem Sci Anth. 2018;6(1):28. DOI: http://doi.org/10.1525/elementa.279.

Liu, H., Nie, H., Lai, W., Shi, Y., Liu, X., Li, K., Tian, L., Xi, Z., Lin, B. 2022. Different exposure modes of PM2.5 induces bronchial asthma and fibrosis in male rats through macrophage activation and immune imbalance induced by TIPE2 methylation. Ecotoxicology and Environmental Safety 247 (2022) https://doi.org/10.1016/j.ecoenv.2022.114200.

Mohnen, V. A.; Hogan, A.; Coffey, P. (1977) Ozone measurements in rural areas. J. Geophys. Res. 82: 5889-5895.

Musselman, R. C.; Oshima, R. J.; Gallavan, R. E. (1983) Significance of pollutant concentration distribution in the response of `red kidney' beans to ozone. J. Am. Soc. Hortic. Sci. 108: 347-351.

Reiter, E. R. (1977a) Review and analysis. In: Mohnen, V. A.; Reiter, E. R., eds. International conference on oxidants, 1976 - analysis of evidence and viewpoints; part III. the issue of stratospheric ozone intrusion. Research Triangle Park, NC: U.S. Environmental Protection Agency, Environmental Sciences Research Laboratory; pp. 67-117; report no. EPA-600/3-77-115. Available from: NTIS, Springfield, VA; PB-279010.

Rombout, P. J. A., Lioy, P. J.; Goldstein, B. D. (1986). Rationale for an eight-hour ozone standard. J. Air Pollut. Control Assoc. Vol. 36, no. 8, pp. 913-917.

Silverman, F., Folinsbee, L.J., Barnard, J.W., Shephard, R.J. 1976. Pulmonary Function Changes in Ozone -- Interaction of Concentration and Ventilation. J Appl Physiol 41/6:859-864. https://doi.org/10.1152/jappl.1976.41.6.859

U.S. Environmental Protection Agency (2006) Air Quality Criteria for Ozone and Related Photochemical Oxidants. Research Triangle Park, NC: Office of Research and Development; report no. EPA/600/R-05/004af.

Zhang, X., Zhao, Y., Song, J., Yang, X., Zhang, J.F., Zhang, Y.P., Li, R., 2018. Differential health effects of constant versus intermittent exposure to formaldehyde in mice: implications for building ventilation strategies. Environ. Sci. Technol. 52,
1551–1560.

Home Page | News | Corporation | Maps | Publications | Table of Contents | Multimedia Center

Copyright © 1995-2026 A.S.L. & Associates. All rights reserved.